Skip To Content

Summarize Attributes

Note:

This functionality is currently only supported in Map Viewer Classic (formerly known as Map Viewer).

Summarize Attributes The Summarize Attributes tool summarizes like field values to generate a summary table. The resulting layer displays the count of features that have been summarized, as well as any additional statistics that have been specified.

Workflow diagram

Summarize Attributes workflow diagram

Analysis using GeoAnalytics Tools

Analysis using GeoAnalytics Tools is run using distributed processing across multiple ArcGIS GeoAnalytics Server machines and cores. GeoAnalytics Tools and standard feature analysis tools in ArcGIS Enterprise have different parameters and capabilities. To learn more about these differences, see Feature analysis tool differences.

Example

Tornadoes and hurricanes are some of the most violent types of storms that occur in the United States. You want to know the property damage and financial loss from tornadoes and hurricanes to compare how their impact differs. You have access to tornado and hurricane data across the United States in a single dataset, and you want to summarize all the information to see a summary of values for all hurricanes and a summary of values for all tornadoes. You can summarize your data by storm type to determine the statistics for each.

Usage notes

Summarize Attributes is a tabular analysis tool, not a spatial tool.

The most basic aggregations will calculate a count of features that have been summarized. The count, sum, minimum, maximum, range, mean, standard deviation, and variance statistics can also be calculated on numerical fields, and the count and any statistics can be calculated on string fields. The statistics will be calculated on each group separately.

You can specify one or more fields to summarize by or summarize all features. When you summarize by fields, statistics are calculated for each unique combination of attribute values.

Summarize Attributes also allows you to analyze using time steps. Each time step is analyzed independently of features outside of the time step. To use time stepping, your input data must be time enabled and represent an instant in time. When time stepping is applied, output features will be time intervals represented by theSTART_DATETIME and END_DATETIME fields .

Learn more about time stepping

The processing spatial reference and spatial reference of your input data will not affect your results.

If Use current map extent is checked, only the features that are visible within the current map extent will be analyzed. If it's not checked, all input features in the input layer will be analyzed, even if they are outside the current map extent.

Limitations

Inputs can be a tabular layer or a layer with geometry (points, lines, or areas).

You can apply this tool to spatial data, and you will get a tabular result. You can join your results to spatial data using Join Features.

How Summarize Attributes works

The following describes how the tool works:

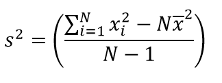
Equations

Variance is calculated using the following equation:

Variance equation
Variance variables

Standard deviation is calculated as the square root of the variance.

Calculations

Input layers are summarized into groups with matching field values. The results are tabular, so they cannot be visualized on your map.

The tables below illustrate the statistical calculations of a layer that is summarized using like field values. The VO2 field was used to calculate the numeric statistics (Count,Sum, Minimum, Maximum, Range, Mean, Standard Deviation, and Variance) for the layer. The Rating field was used to calculate the string statistics (Count and Any) for the layer.

Input layer to be summarized

The table above was summarized on the Designation field, and the VO2 field was used to calculate the numeric statistics (Count,Sum, Minimum, Maximum, Range, Mean, Standard Deviation, and Variance) for the layer. The Rating field was used to calculate the string statistics (Count and Any) for the layer. This result is a table with two features, representing the distinct values of Designation.

Input layer that was summarized using the Designation field
The input layer that was summarized using the Designation field is shown.

The following table represents how the first few fields appear when the layer is summarized using the Designation and Age Group fields. Statistics are calculated using the same methods as the previous example.

Input layer summarized using the fields Designation and Age Group
The input layer that was summarized using the Designation and Age Group fields is shown.

The count statistic (for strings and numeric fields) counts the number of nonnull values. The count of the following values equals 5: [0, 1, 10, 5, null, 6] = 5. The count of this set of values equals 3: [Primary, Primary, Secondary, null] = 3.

ArcGIS API for Python example

The Summarize Attributes tool is available through ArcGIS API for Python.

This example summarizes similar types of storms to find the amount of property damage.


# Import the required ArcGIS API for Python modules
import arcgis
from arcgis.gis import GIS
from arcgis.geoanalytics import summarize_data

# Connect to your ArcGIS Enterprise portal and confirm that GeoAnalytics is supported
portal = GIS("https://myportal.domain.com/portal", "gis_publisher", "my_password")
if not portal.geoanalytics.is_supported():
    print("Quitting, GeoAnalytics is not supported")
    exit(1)   

# Find the big data file share dataset you'll use for analysis
search_result = portal.content.search("", "Big Data File Share")

# Look through the search results for a big data file share with the matching name
bdfs_search = next(x for x in search_result if x.title == "bigDataFileShares_NaturalDisaters")

# Look through the big data file share for Storms
storms = next(x for x in bdfs_search.layers if x.properties.name == "StormData")

# Set the tool environments
arcgis.env.verbose = True
arcgis.env.defaultAggregations = True

summaryStatistics = [{"statisticType" : "Sum", "onStatisticField" : "PropertyDamage"}]

summarized_result = summarize_data.summarize_attributes(input_layer = storms, 
                                                        fields = "Storm_type",
                                                        summary_fields = summaryStatistics,
                                                        output_name = "summarized_storms")

# Visualize the tool results if you are running Python in a Jupyter Notebook
processed_map = portal.map('USA')
processed_map.add_layer(summarized_result)
processed_map

Similar tools

Use Summarize Attributes to summarize features with like values. Other tools may be useful in solving similar but slightly different problems.

Map Viewer Classic analysis tools

If you are summarizing points, lines, or areas using different spatial relationships, use the Join Features tool.

ArcGIS Pro analysis tools

The Summarize Attributes tool is available in ArcGIS Pro.

Summarize Attributes performs the functions of the Summary Statistics tool.